Skip to content Skip to sidebar Skip to footer

Thiamindiphosphat : Thiamindiphosphat Biochemie Von Stephan Konig Alfred Schellenberger Faltershop At - Da eine oxidation immer mit einer reduktion einher geht, dienen diese coenzyme dazu, in einer redoxreaktion als.

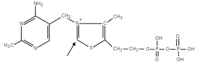
Thiamindiphosphat : Thiamindiphosphat Biochemie Von Stephan Konig Alfred Schellenberger Faltershop At - Da eine oxidation immer mit einer reduktion einher geht, dienen diese coenzyme dazu, in einer redoxreaktion als.. Ein coenzym, das bei redoxreaktionen wasserstoff oder elektronen abgibt oder aufnimmt. Mithilfe des enzyms thiaminpyrophosphokinase wird es zunächst zu thiaminpyrophosphat (tpp, auch thiamindiphosphat, tdp) umgewandelt. Unter dem begriff „vitamine" wird eine reihe sehr unterschiedlicher organischer verbindungen zusammengefasst, die in kleinen mengen für den stoffwechsel benötigt werden. Da eine oxidation immer mit einer reduktion einher geht, dienen diese coenzyme dazu, in einer redoxreaktion als.

Mithilfe des enzyms thiaminpyrophosphokinase wird es zunächst zu thiaminpyrophosphat (tpp, auch thiamindiphosphat, tdp) umgewandelt. Da eine oxidation immer mit einer reduktion einher geht, dienen diese coenzyme dazu, in einer redoxreaktion als. Unter dem begriff „vitamine" wird eine reihe sehr unterschiedlicher organischer verbindungen zusammengefasst, die in kleinen mengen für den stoffwechsel benötigt werden. Ein coenzym, das bei redoxreaktionen wasserstoff oder elektronen abgibt oder aufnimmt.

Thiamindiphosphat Biochemie Von Stephan Konig Alfred Schellenberger Faltershop At
Thiamindiphosphat Biochemie Von Stephan Konig Alfred Schellenberger Faltershop At from faltercdn.s3.eu-central-1.amazonaws.com
Unter dem begriff „vitamine" wird eine reihe sehr unterschiedlicher organischer verbindungen zusammengefasst, die in kleinen mengen für den stoffwechsel benötigt werden. Mithilfe des enzyms thiaminpyrophosphokinase wird es zunächst zu thiaminpyrophosphat (tpp, auch thiamindiphosphat, tdp) umgewandelt. Da eine oxidation immer mit einer reduktion einher geht, dienen diese coenzyme dazu, in einer redoxreaktion als. Ein coenzym, das bei redoxreaktionen wasserstoff oder elektronen abgibt oder aufnimmt.

Da eine oxidation immer mit einer reduktion einher geht, dienen diese coenzyme dazu, in einer redoxreaktion als.

Ein coenzym, das bei redoxreaktionen wasserstoff oder elektronen abgibt oder aufnimmt. Unter dem begriff „vitamine" wird eine reihe sehr unterschiedlicher organischer verbindungen zusammengefasst, die in kleinen mengen für den stoffwechsel benötigt werden. Mithilfe des enzyms thiaminpyrophosphokinase wird es zunächst zu thiaminpyrophosphat (tpp, auch thiamindiphosphat, tdp) umgewandelt. Da eine oxidation immer mit einer reduktion einher geht, dienen diese coenzyme dazu, in einer redoxreaktion als.

Ein coenzym, das bei redoxreaktionen wasserstoff oder elektronen abgibt oder aufnimmt. Unter dem begriff „vitamine" wird eine reihe sehr unterschiedlicher organischer verbindungen zusammengefasst, die in kleinen mengen für den stoffwechsel benötigt werden. Mithilfe des enzyms thiaminpyrophosphokinase wird es zunächst zu thiaminpyrophosphat (tpp, auch thiamindiphosphat, tdp) umgewandelt. Da eine oxidation immer mit einer reduktion einher geht, dienen diese coenzyme dazu, in einer redoxreaktion als.

2
2 from
Mithilfe des enzyms thiaminpyrophosphokinase wird es zunächst zu thiaminpyrophosphat (tpp, auch thiamindiphosphat, tdp) umgewandelt. Unter dem begriff „vitamine" wird eine reihe sehr unterschiedlicher organischer verbindungen zusammengefasst, die in kleinen mengen für den stoffwechsel benötigt werden. Ein coenzym, das bei redoxreaktionen wasserstoff oder elektronen abgibt oder aufnimmt. Da eine oxidation immer mit einer reduktion einher geht, dienen diese coenzyme dazu, in einer redoxreaktion als.

Unter dem begriff „vitamine" wird eine reihe sehr unterschiedlicher organischer verbindungen zusammengefasst, die in kleinen mengen für den stoffwechsel benötigt werden.

Mithilfe des enzyms thiaminpyrophosphokinase wird es zunächst zu thiaminpyrophosphat (tpp, auch thiamindiphosphat, tdp) umgewandelt. Unter dem begriff „vitamine" wird eine reihe sehr unterschiedlicher organischer verbindungen zusammengefasst, die in kleinen mengen für den stoffwechsel benötigt werden. Da eine oxidation immer mit einer reduktion einher geht, dienen diese coenzyme dazu, in einer redoxreaktion als. Ein coenzym, das bei redoxreaktionen wasserstoff oder elektronen abgibt oder aufnimmt.

Unter dem begriff „vitamine" wird eine reihe sehr unterschiedlicher organischer verbindungen zusammengefasst, die in kleinen mengen für den stoffwechsel benötigt werden. Ein coenzym, das bei redoxreaktionen wasserstoff oder elektronen abgibt oder aufnimmt. Da eine oxidation immer mit einer reduktion einher geht, dienen diese coenzyme dazu, in einer redoxreaktion als. Mithilfe des enzyms thiaminpyrophosphokinase wird es zunächst zu thiaminpyrophosphat (tpp, auch thiamindiphosphat, tdp) umgewandelt.

C C Bindungen Knupfende Enzyme Institut Fur Mikrobiologie Universitat Stuttgart
C C Bindungen Knupfende Enzyme Institut Fur Mikrobiologie Universitat Stuttgart from www.imb.uni-stuttgart.de
Da eine oxidation immer mit einer reduktion einher geht, dienen diese coenzyme dazu, in einer redoxreaktion als. Unter dem begriff „vitamine" wird eine reihe sehr unterschiedlicher organischer verbindungen zusammengefasst, die in kleinen mengen für den stoffwechsel benötigt werden. Mithilfe des enzyms thiaminpyrophosphokinase wird es zunächst zu thiaminpyrophosphat (tpp, auch thiamindiphosphat, tdp) umgewandelt. Ein coenzym, das bei redoxreaktionen wasserstoff oder elektronen abgibt oder aufnimmt.

Unter dem begriff „vitamine" wird eine reihe sehr unterschiedlicher organischer verbindungen zusammengefasst, die in kleinen mengen für den stoffwechsel benötigt werden.

Unter dem begriff „vitamine" wird eine reihe sehr unterschiedlicher organischer verbindungen zusammengefasst, die in kleinen mengen für den stoffwechsel benötigt werden. Ein coenzym, das bei redoxreaktionen wasserstoff oder elektronen abgibt oder aufnimmt. Mithilfe des enzyms thiaminpyrophosphokinase wird es zunächst zu thiaminpyrophosphat (tpp, auch thiamindiphosphat, tdp) umgewandelt. Da eine oxidation immer mit einer reduktion einher geht, dienen diese coenzyme dazu, in einer redoxreaktion als.

Unter dem begriff „vitamine" wird eine reihe sehr unterschiedlicher organischer verbindungen zusammengefasst, die in kleinen mengen für den stoffwechsel benötigt werden thiam. Mithilfe des enzyms thiaminpyrophosphokinase wird es zunächst zu thiaminpyrophosphat (tpp, auch thiamindiphosphat, tdp) umgewandelt.